Meet the Other Phone. Flexible and made to last.

Meet the Other Phone.
Flexible and made to last.

Buy now

Please or to access all these features

Weight loss injections/treatments

Discuss weight-loss injections and treatments, including personal experiences. Mumsnet hasn't checked the qualifications of anyone posting here. You may wish to speak to a medical professional before starting any treatments.

Mounjaro 10st (or more) to lose Thread 8

1000 replies

TheBroonOneAndTheWhiteOne · 15/09/2025 16:00

We're getting there.
Slowly and surely, we're losing weight.

Come and join us if you have a significant amount of weight to lose.

Welcome back to all thread regulars.

OP posts:
Thread gallery
61
Autumnflowers2 · 17/09/2025 12:32

I made the mistake of venturing on to another weight loss injection thread .
The one where the op is saying she has put all the weight back on
People are saying on the thread ,
it's well known that when you come of monjroro/ wavyego all the weight goes back on ..

Has anyone seen any statistics to prove against that
I did look myself but didn't find anything
Also ,how would that be a thing yet ,as these injections are relatively new being used for weight loss ..so how could there be any claims that all the weight goes back on ..most of us aren't even at the finishing line yet

Autumnflowers2 · 17/09/2025 12:36

PearlsPearl · 17/09/2025 09:09

I can’t stop eating 😞 so much food noise, so little strength to ignore it. This next few weeks is going to be a real test for me, I’m already finding it so tough. Can’t wait to restart.

I've just bought myself a soup maker ,and I'm going to try filling myself up with vegetables,would something like that help you ?

SilenceInside · 17/09/2025 12:41

@Autumnflowers2 there is this research:

https://jamanetwork.com/journals/jama/fullarticle/2812936

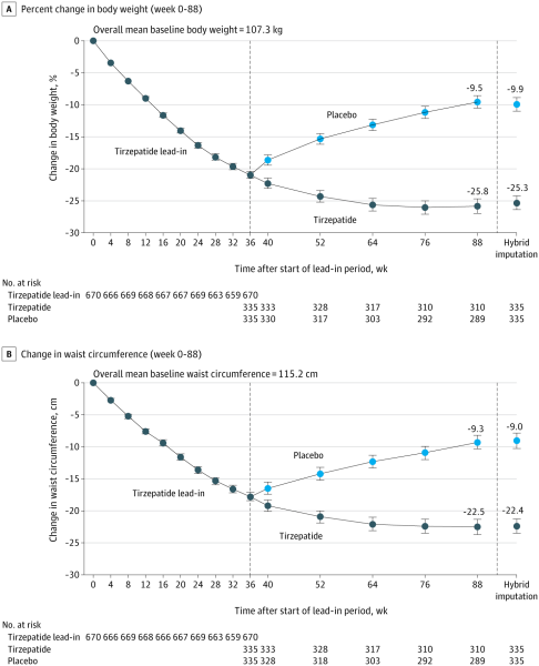
After 36 weeks on Mounjaro on this study, half the participants were switched to placebo. They regained 14% of the weight after 52 weeks. Those who stayed on Mounjaro unsurprisingly continued to lose weight and lost another 5.5% of their starting weight after the 52 weeks.

It's perhaps easier to see on the graph, when the image is shown, you can see the ones on placebo (blue line) start to regain weight. But, they don't go back to their starting weight, they are still down almost 10% after a year.

Mounjaro 10st (or more) to lose Thread 8
Autumnflowers2 · 17/09/2025 12:42

So it's going to be hard coming off then

SilenceInside · 17/09/2025 12:43

This is for Wegovy:

https://pubmed.ncbi.nlm.nih.gov/35441470/

The conclusion from that study is that "One year after withdrawal of once-weekly subcutaneous semaglutide 2.4 mg and lifestyle intervention, participants regained two-thirds of their prior weight loss, with similar changes in cardiometabolic variables. Findings confirm the chronicity of obesity and suggest ongoing treatment is required to maintain improvements in weight and health."

Weight regain and cardiometabolic effects after withdrawal of semaglutide: The STEP 1 trial extension - PubMed

One year after withdrawal of once-weekly subcutaneous semaglutide 2.4 mg and lifestyle intervention, participants regained two-thirds of their prior weight loss, with similar changes in cardiometabolic variables. Findings confirm the chronicity of obes...

https://pubmed.ncbi.nlm.nih.gov/35441470/

Autumnflowers2 · 17/09/2025 12:44

But I wonder how that graph compares to coming of slimming world or weight watchers or the fast 800.
So is some weight gain not normal,when you come of a diet and eat more food .
What happens to people on monjroro who calorie count ,and come of monjroro but don't increase calories... surely you won't still put weight on .

Autumnflowers2 · 17/09/2025 12:46

I got the impression from the other thread ,that just stopping monjroro makes you gain weight
But that can't be right , because being on monjroro doesn't make us loose weight..we loose weight because we are in calorie deficit

SilenceInside · 17/09/2025 12:46

Autumnflowers2 · 17/09/2025 12:42

So it's going to be hard coming off then

Yes, but, those results are averages. It won't apply to everyone in the same way. Also, participants were not on Mounjaro/Wegovy for as long as most of us will be. I've already been on Mounjaro for longer than the whole trial timeframe, for example. So, perhaps that might make a difference. In addition, people on placebo may not have realised they were on the placebo, which would be a bit weird and not a normal situation. Injecting something weekly that didn't contain any medication but expecting/hoping to lose weight. I think knowing that you're coming off and planning for it would make a difference.

Also, no one in those studies tapered down or anything like that. So that may make a difference.

Autumnflowers2 · 17/09/2025 12:47

SilenceInside · 17/09/2025 12:46

Yes, but, those results are averages. It won't apply to everyone in the same way. Also, participants were not on Mounjaro/Wegovy for as long as most of us will be. I've already been on Mounjaro for longer than the whole trial timeframe, for example. So, perhaps that might make a difference. In addition, people on placebo may not have realised they were on the placebo, which would be a bit weird and not a normal situation. Injecting something weekly that didn't contain any medication but expecting/hoping to lose weight. I think knowing that you're coming off and planning for it would make a difference.

Also, no one in those studies tapered down or anything like that. So that may make a difference.

That actually seems cruel ..they can't of had much to loose to agree to that

SilenceInside · 17/09/2025 12:49

@Autumnflowers2 no, stopping Mounjaro doesn't make you gain weight. People who don't like WLI seem to be very keen on announcing that you will have an insatiable hunger, and that your metabolism will somehow be broken and you will balloon as soon as you stop. What actually is happening is that you are returning to the state your body was before you started taking Mounjaro, which is what led us to obesity. If however you calorie count and stick to your TDEE then you won't gain weight. It just will be harder to do that unsupported by WLI, unsurprisingly.

Autumnflowers2 · 17/09/2025 12:52

SilenceInside · 17/09/2025 12:49

@Autumnflowers2 no, stopping Mounjaro doesn't make you gain weight. People who don't like WLI seem to be very keen on announcing that you will have an insatiable hunger, and that your metabolism will somehow be broken and you will balloon as soon as you stop. What actually is happening is that you are returning to the state your body was before you started taking Mounjaro, which is what led us to obesity. If however you calorie count and stick to your TDEE then you won't gain weight. It just will be harder to do that unsupported by WLI, unsurprisingly.

That was my understanding as well
Thankyou
Need to keep of threads discussing wli
Why do people want to put us down and seem so happy to inform us ...well it will all go back on again when you stop taking it ...big smile ...
Feels like People just want it to fail ,or just want some huge scandal to come out where taking it causes major issues.

SilenceInside · 17/09/2025 12:59

People on those sorts of threads who post weirdness seem to fall into a few categories - people who are really under-informed or mis-informed and get all their "info" on WLI from shock news stories and gossip from a friend of a friend's cousin's babysitter. Then there's those who view being obese as a moral failing, and just enjoy being superior. There's also a small number of people who have eating disorders of some kind, and have a fixation on WLI as a result.

I think a lot of people are in the first group, and are just parroting what they've seen without applying any critical thinking or fact checking.

TragicMuse · 17/09/2025 13:13

It’s because of that stupid perception that WLI injections are ‘cheating’ or whatever shit they tell themselves to feel superior. I wonder if groups of men do this to other men in WLI. I’m guessing they don’t.

We get slaughtered for being fat, then criticised for trying to do something about being fat, then they revel in the possibility of us being fat again. Basically, we can’t win.

It’s bullying and it says far more about them than it does about us. If they see a thinner me as a threat (and they should because I’m fucking ace at any weight!) and need to put me down then they’re totally showing their own colours about how they view other women.

I’m not in competition with anyone. And I don’t care what anyone else thinks about me or my jabs! Fuck ‘em. Fuck ‘em all!!

TragicMuse · 17/09/2025 13:14

Phew. That feels better! 😆

TragicMuse · 17/09/2025 13:16

Also, thanks @TheBroonOneAndTheWhiteOne! I think I am!

Another colleague asked me if I’d lost weight today! It’s slowly seeping through!

TheBroonOneAndTheWhiteOne · 17/09/2025 14:18

I’m not in competition with anyone. And I don’t care what anyone else thinks about me or my jabs! Fuck ‘em. Fuck ‘em all!

Well fucking said @TragicMuse

OP posts:
Missingducks · 17/09/2025 16:45

Just back from 10 days in Spain and France staying in hotel so dinner out each evening and a 'see you through the day' brekkie and I have lost a kg. Win! Also didnt feast or drink my bodyweight in alcohol and no-one bullied me to indulge. To be honest one of my concerns was that everyone would say "why aren't you all four feet in the trough as usual" but guess what, no-one else is as obsessed with me as I am!!!
Also i know some of you were shocked at the BUPA prices I've been paying, but so far no September rises ... And I've just ordered my next pen.

Content.

But slightly envious of those of you making significant progress towards personal goals.

Motnight · 17/09/2025 17:01

TragicMuse · 17/09/2025 13:13

It’s because of that stupid perception that WLI injections are ‘cheating’ or whatever shit they tell themselves to feel superior. I wonder if groups of men do this to other men in WLI. I’m guessing they don’t.

We get slaughtered for being fat, then criticised for trying to do something about being fat, then they revel in the possibility of us being fat again. Basically, we can’t win.

It’s bullying and it says far more about them than it does about us. If they see a thinner me as a threat (and they should because I’m fucking ace at any weight!) and need to put me down then they’re totally showing their own colours about how they view other women.

I’m not in competition with anyone. And I don’t care what anyone else thinks about me or my jabs! Fuck ‘em. Fuck ‘em all!!

Yes, love this! And as I am through the menopause fuck a lot of people in general 🤣

Billybingbong · 17/09/2025 17:17

TragicMuse · 17/09/2025 13:13

It’s because of that stupid perception that WLI injections are ‘cheating’ or whatever shit they tell themselves to feel superior. I wonder if groups of men do this to other men in WLI. I’m guessing they don’t.

We get slaughtered for being fat, then criticised for trying to do something about being fat, then they revel in the possibility of us being fat again. Basically, we can’t win.

It’s bullying and it says far more about them than it does about us. If they see a thinner me as a threat (and they should because I’m fucking ace at any weight!) and need to put me down then they’re totally showing their own colours about how they view other women.

I’m not in competition with anyone. And I don’t care what anyone else thinks about me or my jabs! Fuck ‘em. Fuck ‘em all!!

Well said!!! My bullshit tolerance levels have depleted quicker than my menopausal hormone levels, so if anyone thinks they have a say in my WLI journey, then fuck em, I genuinely couldn't give two shites. Im doing it for me & my family, not some randomer spouting nonsense drivel .

We are fabulous, every single one of us ❤️

Billybingbong · 17/09/2025 17:21

In other news, I've just bought some cheapy TikTok shop loungewear in size XL, to replace the 4XL I wore to death last winter, and it fits like a dream 🥰

PearlsPearl · 17/09/2025 17:27

@Missingducks must feel so good to have been able to enjoy a holiday without gaining weight. Well done and welcome back!

TheBroonOneAndTheWhiteOne · 17/09/2025 17:41

Billybingbong · 17/09/2025 17:21

In other news, I've just bought some cheapy TikTok shop loungewear in size XL, to replace the 4XL I wore to death last winter, and it fits like a dream 🥰

Yaaaaaay!!!

OP posts:
Apprenante · 17/09/2025 18:50

SilenceInside · 17/09/2025 12:46

Yes, but, those results are averages. It won't apply to everyone in the same way. Also, participants were not on Mounjaro/Wegovy for as long as most of us will be. I've already been on Mounjaro for longer than the whole trial timeframe, for example. So, perhaps that might make a difference. In addition, people on placebo may not have realised they were on the placebo, which would be a bit weird and not a normal situation. Injecting something weekly that didn't contain any medication but expecting/hoping to lose weight. I think knowing that you're coming off and planning for it would make a difference.

Also, no one in those studies tapered down or anything like that. So that may make a difference.

I think the point about thinking you're being given Mounjaro but being actually on a placebo is very important. I'm surprised that it was considered ethical to do this. Coming off gradually and being aware that you need to manage your eating surely makes an enormous difference?

SilenceInside · 17/09/2025 19:54

@Apprenante the terms of the trial would have been explained to the participants in advance, they would have been aware that they could be swapped to a placebo part way through. I think I would probably risk it, to be able to try the medication for 36 weeks for certain, and then possibly for another year. All the participants still ended up having lost weight overall, even though those on placebo regained some weight.

Newmummy343 · 17/09/2025 20:46

Marking this thread so I dont lose my place. Not read through it yet but I had 2 people at work say that im looking good and noticed ive lost weight which was nice. Althought I've nearly lost 4 stone i still have about another 6 to go so a long way to go!

Please create an account

To comment on this thread you need to create a Mumsnet account.

This thread is not accepting new messages.
Swipe left for the next trending thread