Meet the Other Phone. A phone that grows with your child.

Meet the Other Phone.
A phone that grows with your child.

Buy now

Please or to access all these features

Secondary education

Connect with other parents whose children are starting secondary school on this forum.

Can anyone help with this A level maths problem?

23 replies

muckinin · 03/12/2023 18:24

I'm pretty sure part a needs to be solved using simultaneous equations, but I keep tying myself in knots.

Can anyone help with this A level maths problem?
OP posts:
PrivateSchoolTeacherParent · 03/12/2023 18:35

At a quick glance, you could use trig to find all the properties of the top-right triangle and go from there? (If you set the side of the square to be, say, 6 to start off, you can look at the triangle with MQ and the dotted line...)

TeenDivided · 03/12/2023 18:40

I'm not sure you need trig?

MQ is -0.5a+c+0.75a

CPQ and APM are similar triangles with ratio of similar sides of 3 : 2 (ah that's question b!)

So MP is 0.4MQ

So OP is 0.5a + 0.4MQ (where MQ is as above)

PrivateSchoolTeacherParent · 03/12/2023 18:41

TeenDivided · 03/12/2023 18:40

I'm not sure you need trig?

MQ is -0.5a+c+0.75a

CPQ and APM are similar triangles with ratio of similar sides of 3 : 2 (ah that's question b!)

So MP is 0.4MQ

So OP is 0.5a + 0.4MQ (where MQ is as above)

Much simpler, thanks! (I hasten to add that I teach a humanities subject, not maths!)

TeenDivided · 03/12/2023 18:42

b) The bit I used to get a.

CQ is 0.75 the square side and OM is 0.5 -> that gives the 3:2 for the similar triangles, using alternating angle rule of parallel lines rule too.

StopLickingTheDog · 03/12/2023 18:44

No. No I cannot.

Maths A-level grade E, circa 2000.

TeenDivided · 03/12/2023 18:54

I may have 'cheated' by proving b) first and using it to show a)
You may be meant to show a) first.
If you can get OP another way then you can use that to get CP and also CA is easy, and CP should come out to be 0.6CA which would then show the ratio.

But I think my method is neater. Smile

TeenDivided · 03/12/2023 19:13

One thing with A level, that only seems to happen occasionally with GCSE (and hence causes angst when it does happen at GCSE) is you need to be flexible enough to use different bits of maths together if needed.

So I solved by using vectors (or course) but also squares have parallel lines fact, parallel line rules facts and similar triangle facts.

muckinin · 03/12/2023 19:30

TeenDivided · 03/12/2023 18:40

I'm not sure you need trig?

MQ is -0.5a+c+0.75a

CPQ and APM are similar triangles with ratio of similar sides of 3 : 2 (ah that's question b!)

So MP is 0.4MQ

So OP is 0.5a + 0.4MQ (where MQ is as above)

Apparently the correct answer (given at the back of the book) is 0.6a + 0.4c.

So, I think you're right.

OP posts:
OhBeAFineGuyKissMe · 03/12/2023 19:35

I am probably missing something (in bed with a cold!) but if it is a square doesn’t a=c?

muckinin · 03/12/2023 19:39

OhBeAFineGuyKissMe · 03/12/2023 19:35

I am probably missing something (in bed with a cold!) but if it is a square doesn’t a=c?

They're vectors, so the magnitude of a equals the magnitude of c. But their directions are different.

OP posts:
muckinin · 03/12/2023 19:40

Can anyone solve it differently, using simultaneous equations?

OP posts:
TeenDivided · 03/12/2023 19:54

muckinin · 03/12/2023 19:40

Can anyone solve it differently, using simultaneous equations?

I know I am very rusty with my maths but I am struggling to see how you would do anything with simultaneous equations here.
Do you want to 'show your working' and it might jog me or someone else?

woodlands01 · 03/12/2023 21:48

If you do this as a vectors question without the similar triangles theory of TeenDivided you do get 2 simultaneous equations in the multipliers along AC and MQ.
Tricky question - need to find two vector expressions for OP, one along each of AC and MQ. Then you can use your simulaneous equations but that is the easy bit.
Impressed with similar triangles theory 😀

larkstar · 03/12/2023 22:49

I think you have to use the fact that triangles CQP and AMP are similar. So MP:PQ is in the same proportion as MA:CQ. You can use that to find MP and then OP.

The second part of the question just uses the same fact - that AP:PC is in the same proportion as MA:CQ.

Can anyone help with this A level maths problem?
Pythag · 03/12/2023 22:59

TeenDivided has an elegant solution. Part b can also be done with vectors but the similar triangles method is easier. She has not shown all her working tho with the vectors parts!

Classically for A-level the method for these kinds of problems is to find two different routes, use unknown scalars called lamda and mu, then equate coefficients and solve them simultaneously to find the unknown scalars etc. This method is necessary for some vector proof questions.

muckinin · 04/12/2023 07:14

Pythag · 03/12/2023 22:59

TeenDivided has an elegant solution. Part b can also be done with vectors but the similar triangles method is easier. She has not shown all her working tho with the vectors parts!

Classically for A-level the method for these kinds of problems is to find two different routes, use unknown scalars called lamda and mu, then equate coefficients and solve them simultaneously to find the unknown scalars etc. This method is necessary for some vector proof questions.

Yep, that's what I'm trying to do.

OP posts:
TeenDivided · 04/12/2023 07:31

Pythag · 03/12/2023 22:59

TeenDivided has an elegant solution. Part b can also be done with vectors but the similar triangles method is easier. She has not shown all her working tho with the vectors parts!

Classically for A-level the method for these kinds of problems is to find two different routes, use unknown scalars called lamda and mu, then equate coefficients and solve them simultaneously to find the unknown scalars etc. This method is necessary for some vector proof questions.

Thank you for explaining the probably expected solution.

I know I didn't show all working Smile but hoped to show enough for an A level student to 'get' what I was on about. Plus I couldn't be bothered to do on paper and got bored typing it all out.

I suspect they are wanting the simultaneous equations method as otherwise they would have put part b above part a. I used b to prove a and I suspect they really want them to use a to prove b which of course is the usual way of things.

I'd be interested to see a simultaneous equations based solution.

TeenDivided · 04/12/2023 12:54

OK, done it by a different method.

Imagine on a graph with corners of square at (0,0) (4,0) (4,4) (0,4)
Equation of line CA is y=x
Equation of line MQ is y=((0-4)/(3-2))x + c
ie y=-4x+c
When x=3 y=0 so c is 12 so MQ is y=-4x+12

The lines meet at P so x=-4x+12 => 5x=12, x=2.4, y=2.4
So CP is 2.4/4 of CA ie 3/5 so ratio 3:2

muckinin · 04/12/2023 13:31

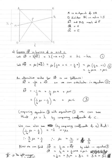
Thanks @TeenDivided. That works too, and is how my DH did it. However, with the help of some Dr Frost slides we've now worked out how my son was intended to do it by his teacher - apologies, he mis-described it as "simultaneous equations". The key is comparing vector coefficients. See attached. In this version we re-drew the diagram with the origin at bottom left, but it doesn't matter.

It only shows part (a) of the problem, but part b is obvious once you know lamda.

Can anyone help with this A level maths problem?
OP posts:
muckinin · 04/12/2023 13:46

A slightly clearer image (as bottom line was chopped off the first one)...

Can anyone help with this A level maths problem?
OP posts:
TeenDivided · 04/12/2023 14:35

Thanks. Nice to see how it 'should' be done.

muckinin · 04/12/2023 14:44

TeenDivided · 04/12/2023 14:35

Thanks. Nice to see how it 'should' be done.

I prefer your similar triangles version, but I don't think that would work in all problems of the same 'type'.

OP posts:
TeenDivided · 04/12/2023 14:46

muckinin · 04/12/2023 14:44

I prefer your similar triangles version, but I don't think that would work in all problems of the same 'type'.

I agree. I think my solution is the most elegant, but also that it isn't generic enough for similar problems.

New posts on this thread. Refresh page