Meet the Other Phone. Flexible and made to last.

Meet the Other Phone.
Flexible and made to last.

Buy now

Please or to access all these features

Premature birth

Connect with others and find premature birth support.

Rate of cervical change a worry

8 replies

Kalodin · 14/09/2023 05:46

History of 2 x 28 weekers, currently 20 weeks.

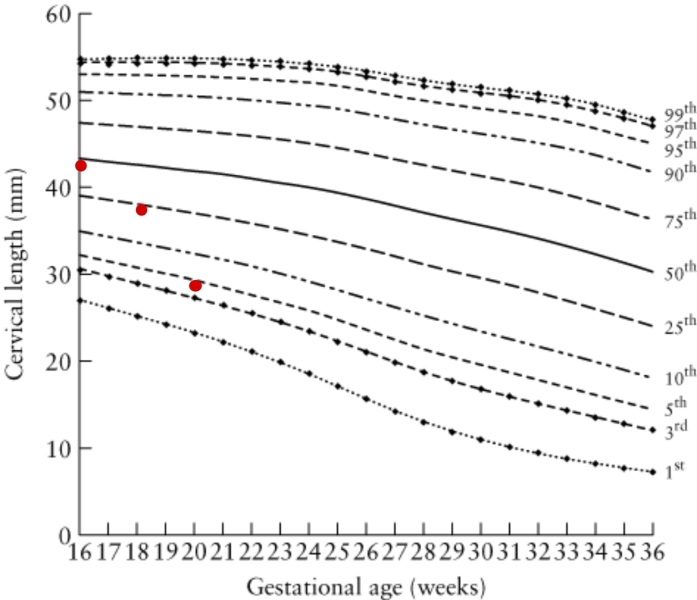
Yesterday had my fortnightly cervical length scan with a different Consultant than usual (she was on Leave). My Cervix has dropped again by quite a bit. Whilst I know the shortening of the cervix is expected as pregnancy progresses, I'm unsure if it's meant to be this steep?

I've attached a graph to show what I mean; the red dots are my measurements.

The Consultant Yesterday did say he was surprised I hadn't been started on progesterone by my usual Doctor and maybe ask about that. He also said I might want to consider a cerclarge now to prevent this rate of change.

However, he said I could also just wait and see and discuss this all with my usual Consultant in my next appointment in a fortnight.

I opted for the latter as I was already a bit out-of-sorts as it was a different doctor and the rate of change hadn't quite sunk in. I was focused on 30mm being an okay measurement as Doctor said technically 25mm is classed as a short cervix.

I'm just hoping for some advice on here. 30mm does seem on the shorter side for 20weeks. Plus the literature I've read indicates that a rate of change this steep can indicate a higher risk of premature birth.

I should opt for intervention shouldn't I.

Rate of cervical change a worry
OP posts:
SiouxsieSiouxStiletto · 17/09/2023 09:08

I'm sorry, I don't have any experience but hopefully this will bump for you Flowers

Kalodin · 17/09/2023 17:57

Thank you. In case anyone does find this thread, ended up going with the cerclage, called the DR back and scheduled it in for Friday just gone.

OP posts:
2mumlife · 29/05/2024 11:37

@Kalodin Hi, can I ask how you got on? I'm in a bit of a similar position. I was monitored for a short cervix with my daughter due to previous LLETZ procedure, but it stayed around 3cm and I carried to term absolutely fine. I have been being monitored in my current pregnancy, and I've gone from 56mm at 14 weeks, to 45mm at 18 weeks and now 30mm at 21 weeks (yesterday). Similar story my consultant wasn't working yesterday, but they've asked me to come back in again next week to get cervix remeasured and speak to my own consultant 'as a precaution' due to rate of change. Trying to figure out what's likely to happen.

Whereareyounowwwww · 29/05/2024 11:45

2mumlife · 29/05/2024 11:37

@Kalodin Hi, can I ask how you got on? I'm in a bit of a similar position. I was monitored for a short cervix with my daughter due to previous LLETZ procedure, but it stayed around 3cm and I carried to term absolutely fine. I have been being monitored in my current pregnancy, and I've gone from 56mm at 14 weeks, to 45mm at 18 weeks and now 30mm at 21 weeks (yesterday). Similar story my consultant wasn't working yesterday, but they've asked me to come back in again next week to get cervix remeasured and speak to my own consultant 'as a precaution' due to rate of change. Trying to figure out what's likely to happen.

My rate of change was quite similar, I was put on progesterone pessaries at 23 weeks 4 times a days and to “take it easy” basically I reduced my hours at work (fit note for reduced hours) - so still full time wage just less hours a day. I wfh also (pre Covid) consultant said she’d be surprised if I got past 34 weeks, I did! 37 weeks and went into spontaneous labour.
she was v v v low down in all my scans though and I could basically feel her head in my pelvis all the time. It was pretty unnerving!

2mumlife · 29/05/2024 11:51

@Whereareyounowwwww Thanks for sharing. This is a FET pregnancy so was on progesterone pessaries for the first 12 weeks, so don't mind if that's offered. I also wfh so that makes things easier if I need to 'take it easy' on my working days but I also have a toddler, so taking it easy wont be simple on some days 😂

I'm really hoping that as my daughter went to term without any intervention that my body will behave. There is no funnelling etc its just shortening fairly quickly...

Kalodin · 29/05/2024 12:32

I had the cerclage but it didn't stop premature labour, ended up going into spontaneous labour at 27 weeks. My consultant doesn't beleive its the cervix that's necessarily the issue for me but any time I get an infection (which I had again, a UTI), my body just kicks out my baby.

OP posts:
Whereareyounowwwww · 29/05/2024 13:21

2mumlife · 29/05/2024 11:51

@Whereareyounowwwww Thanks for sharing. This is a FET pregnancy so was on progesterone pessaries for the first 12 weeks, so don't mind if that's offered. I also wfh so that makes things easier if I need to 'take it easy' on my working days but I also have a toddler, so taking it easy wont be simple on some days 😂

I'm really hoping that as my daughter went to term without any intervention that my body will behave. There is no funnelling etc its just shortening fairly quickly...

Ah yeah I had a very lively three year old at the time, but I worked full time so
it meant DH was home at weekends with me to help etc. so managed to take it easy during the day which helped immensely!
I had lletz between my 1st and 2nd and had a large chunk of my cervix removed in two places so my 1st was fine- just 2nd caused issues!

2mumlife · 29/05/2024 13:34

@Kalodin I'm sorry to hear you went into labour so early. Hope your little one had a good outcome x

New posts on this thread. Refresh page