Meet the Other Phone. Flexible and made to last.

Meet the Other Phone.
Flexible and made to last.

Buy now

Please or to access all these features

Legal matters

Mumsnet has not checked the qualifications of anyone posting here. If you have any legal concerns we suggest you consult a solicitor.

Corporate is trying to screw employees... help !

37 replies

Fudgecorpo · 28/05/2025 22:49

The company I'm working for is a fintech which is getting bought out by a big corporate business. We have just been provided with new contracts and the contract prohibits any side work or business activity. I have said to my director that I can't sign because of that clause and need written permission to continue doing consulting in my spare time ( weekends).

Firstly, he has said that its the first he has heard about me consulting, which is a total lie as it was on my CV when I was interviewed over a year ago and we discussed it during interview process. Not once have I been asked to cease. I have also mentioned / discussed this on other occasions like Xmas do and other company meet ups. The whole company is aware that Im single parenting and need extra income and im contracting on the side. I was always super transparent about it. Contracting is done the legal way of course, so I pay taxes.

Secondly, the original contract only mentions it is an issue if it generates conflict of interest and should seek permission from management which I assumed I had due to the above. Not once was it indicated otherwise.

The consulting i do is obviously relates to my skill but the customers couldn't be further from the corpos or boss' business. There is zero conflict of interest.

Now my boss has responded with:

"After careful consideration, we have concluded that your external consulting activity presents a conflict of interest and is not compatible with your current role within the company. This decision is based on the internal policies of the bank and the nature of your position, particularly in light of the forthcoming changes associated with the sale of the company.

As such, we kindly ask you to cease your external consulting activity and provide us with evidence of this in order to avoid any conflict of interest. In any case, please let us know your decision by ...date".

He also said he consulted corpos HR...Now I can guarantee he has not. Their HR is so slow and thorough. I think he is just saying it to force me to sign by the given date which is the date of the sale... he wants this quiet before company is sold.

What on earth do I do ?

If i refuse new contract, I will most likely get my notice.

I query, I push him to fire me.

I sign the contract and need to stop extra work ? Can't afford that plus I dont want to work for them now anyway but they pay well so again not much choice until I find replacement.

Sign contract and continue to do what im doing and keep looking for new job in the meantime ?

Feel like im being pushed to do something that will put me in precarious situation just so the deal gets signed. I took this job because the team is fab and it was super flexible. We have now lost the flexibility. I have also been there under 2 years which limits my chances for unfair dismissal.

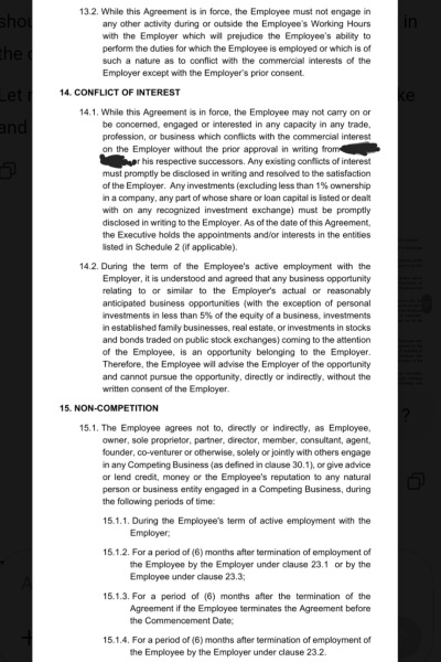
Attached is the snipped from new contract.

Corporate is trying to screw employees... help !
OP posts:
HundredMilesAnHour · 28/05/2025 23:04

It’s not unusual in FS. Where I work I had to get approval/sign-off to do any other paid work or be a Director elsewhere etc (regardless of paid or unpaid). This has been standard at all the banks I’ve worked at.

Gattopardo · 28/05/2025 23:05

I am not a lawyer but I would think this depends on the terms of your current contract.

I would not be signing any new contract without legal advice. Surely they can’t just unilaterally change your contract terms? Wouldn’t TUPE apply?

Fudgecorpo · 28/05/2025 23:08

HundredMilesAnHour · 28/05/2025 23:04

It’s not unusual in FS. Where I work I had to get approval/sign-off to do any other paid work or be a Director elsewhere etc (regardless of paid or unpaid). This has been standard at all the banks I’ve worked at.

I get that but I asked permission and he refused it. Im not high up in the chain once we are bought out. There will be lots of people above me so not sure how im creating a conflict of interest? He also knew I was doing it and he knows it will loose me vital income...

OP posts:
Fudgecorpo · 28/05/2025 23:14

Gattopardo · 28/05/2025 23:05

I am not a lawyer but I would think this depends on the terms of your current contract.

I would not be signing any new contract without legal advice. Surely they can’t just unilaterally change your contract terms? Wouldn’t TUPE apply?

Current contract is different and not sure about TUPE. We have been kept in the dark a lot hence why I'm sure he hasnt actually asked HR for approval.

Corporate is trying to screw employees... help !
OP posts:
CantHoldMeDown · 28/05/2025 23:20

This reply has been withdrawn

This has been withdrawn by MNHQ at the poster's request.

HundredMilesAnHour · 28/05/2025 23:28

Fudgecorpo · 28/05/2025 23:08

I get that but I asked permission and he refused it. Im not high up in the chain once we are bought out. There will be lots of people above me so not sure how im creating a conflict of interest? He also knew I was doing it and he knows it will loose me vital income...

They don’t have to agree or approve it. They’re quite entitled to refuse. It may be a case that your smaller FinTech was fine (most likely much less legally savvy) but the bigger organisation that is taking you over isn’t. It would usually be Compliance (or equivalent) rather than HR or your line manager who approves / declines.

It doesn’t matter how many people are above you nor how vital the extra income is for you. The majority of banks would never agree to you doing similar work (which I assume your consulting is) as that carries signifiant reputational risk for them as well as being a potential conflict of interest.

joanofaardvark · 28/05/2025 23:32

Why are you having to sign a new contract? If the existing company remains the employer then it is constructive dismissal to try to get someone to change their existing terms of employment. As a pp has stated, TUPE (a regulation from the old EU days that still applies) protects employees where the existing business and assets are transferred to a new company as employer. You have less protection of you have been employed for less than 2 years.
IANAL so get proper legal advice. Expecting existing employees to just sign new contract is a big red flag for employment law issues and most normal businesses would not try it/be so blatant.
As to what you are doing, it's really unusual for any vaguely professional outfit to allow you to effectively do a second job, the same as your first, in your own time. You'd need to be really valuable for them to take the risk that it wasn't detracting from your performance for them. I'm not sure chatting about it at interview and the Xmas party really counts as being on proper notice as to what you are doing. That said, your existing employment contract may well protect you, so get legal advice to understand your position.

Gattopardo · 28/05/2025 23:36

Well, it seems to boil down to whether your side job falls under 14.1 or 14.2.

If it’s at all adjacent or using same client base I’d think that’s skating on thin ice. If, for example, your job concerns technical risk analysis or cyber security for a bank but you moonlight in training AI or something, I can’t see how those clauses would be invoked.

Is there nothing explicit in the contract about working for yourself/ another employer whilst employed by this company?

I wouldn’t sign anything right now. I would absolutely be notarising any discussions had or verbal agreements you’ve made about your sideline job for your own records.

and probably looking for another job: sounds like your boss has just rolled over and is looking out for themselves.

Fudgecorpo · 28/05/2025 23:54

I understand the business is allowed to have that clause. But they also say one can seek permission to be allowed to have secondary job. My consulting is done over the weekend so it doesn't impact my FT job in any way, doesn't use their equipment which bare in mind is just a laptop. Let's say as an example I'm corporate lawyer but on the side advise on property law to individual people. How is this conflict of interest they are citing? Apart from me being a lawyer that I paid for myself the areas of work couldn't be further away.

I feel exactly that @Gattopardo he sees pound signs and doesn't want anything interfering in his deal... I also just head heard from someone that there are others that have side gigs but they dont know if permission has been granted.

@joanofaardvark how is an interview where I describe my set up in detail and why I'm doing it not enough of a disclosure ? The contract i signed doesn't stop me from doing other work, just conflicting work. This isnt conflicting one bit.. can they stop me from studying too ? The more relaxed settings you could say are not proper disclosure but he said he had no idea so I mentioned instances where my consulting was discussed so he knew....

I will call ACAS tomorrow morning, time is not on my side however. The lack of discussion, mention of new contract and giving us 48 hrs to sign etc all seem like a huge warning...

OP posts:
HolyMacaroniBatman · 28/05/2025 23:55

Are you full-time in your current role? It seems highly unusual that you would have been allowed to keep doing a full-time day job plus consulting at the weekends if your current employer had actually understood that that was what you were doing. Most places require you to get approval for doing a second job. As much as anything you’re likely to get burnt out so there’s a duty of care point.

MayaPinion · 29/05/2025 00:00

It’s not unusual in any organisation. At mine the rule of thumb is that you shouldn’t be doing private work that uses the skills you use at work - e.g. an corporate accountant doing small business accounting jobs at the weekend, but you could do something completely different like trapeze artist or bar work.

Gattopardo · 29/05/2025 00:01

@Fudgecorpo 48 hours to sign? Get out of here.

This guy is looking out for himself big time. It really doesn’t sound like you’ve broken yr contract terms but who knows what a court would find.

It’s really unfortunate you’ve been there less than 2 years as he could give you your marching orders for spurious reasons much easier than if you’ve been there longer. Gah.

Id be tempted to discretely team up with any other affected employees.

Fudgecorpo · 29/05/2025 00:02

HolyMacaroniBatman · 28/05/2025 23:55

Are you full-time in your current role? It seems highly unusual that you would have been allowed to keep doing a full-time day job plus consulting at the weekends if your current employer had actually understood that that was what you were doing. Most places require you to get approval for doing a second job. As much as anything you’re likely to get burnt out so there’s a duty of care point.

From the interview and Director understanding what im doing and why and not asking me to stop, and me saying im continuing as I need to support my children, it was easy to make the assumption there was no issue with it. According to the Colleague I spoke to, others were doing it too.

Ref burning out....Maybe.... But when you single parent with no help from anybody, you do what you have to do. Id love to be able not having to do the extra consulting but sadly that will be a difference between DC being able to go to i e. Sports club and do what they love or not.

OP posts:
Fudgecorpo · 29/05/2025 00:04

MayaPinion · 29/05/2025 00:00

It’s not unusual in any organisation. At mine the rule of thumb is that you shouldn’t be doing private work that uses the skills you use at work - e.g. an corporate accountant doing small business accounting jobs at the weekend, but you could do something completely different like trapeze artist or bar work.

Why not? It's a skill you have gained at your own expense... you should be able to use it as long as its not conflicting with your employers work and clients. Crazy

OP posts:
Gattopardo · 29/05/2025 00:04

@MayaPinion I often wonder how exactly that is a fair contract term unless your employer has paid for you to acquire eg those accounting skills. If you got them yourself and paid for your own education, plus there was no conflict of interest or suggestion you were defaulting on your main job’s responsibilities…

What you’ve cited sounds a bit like indentured labour and clauses from industrial practice 150 years ago!

prh47bridge · 29/05/2025 09:46

In my view, your real problem is not the contract. It is that your boss has decided that your consulting is a conflict of interest. If it is a conflict of interest, the old contract also prevents you from consulting in your spare time. That means they can stop you regardless of which contract applies. The new contract is therefore a red herring.

I note that you are concerned that querying things may result in you being sacked. From your first post it sounds like you have not been there two years, so you are not protected against unfair dismissal. Your choices are therefore limited. If there is a procedure for appealing the decision or raising a grievance, you could try that, but you may need to find a new job if you want to carry on with your consulting activities.

ChoppyChoppy · 29/05/2025 10:05

Are you able to demonstrate that the consultation work is actually only carried out at the weekend and are you able to show how many hours it takes up. It wouldn’t be unreasonable for the Boss to think you are doing some calls, emails etc during the working week especially as you say the job is flexible. The boss is going to be thinking that as a single Mum you might be trying to squeeze your consultancy work into the working week so that you are available for your kids at the weekend. It’s not very palatable but that’s probably what they are thinking.

As you haven’t been there for two years I wonder if you might have more luck trying to show them that it’s not interfering with your job at all rather than looking at the legalities of it.

Bloodtuch · 29/05/2025 10:08

Try speaking to ACAS they have provided excellent advice on the few employment disputes I've seen.

marsal · 29/05/2025 10:14

Also a lawyer. I would expect you to be dismissed if you do not agree. You have less than two years service and so cannot bring a claim of unfair dismissal in the normal course of things. The practice of running a "side hustle" which has grown up since lockdown is not acceptable to most companies. You are supposed to devote the whole of your time and attention to your role unless you have express permission otherwise. I would not expect a mention at interview to suffice unless you expressly told them that you would be carrying on with this if you got the job and they then expressly stated when they made the job offer that it was acceptable for you to continue.

I would also expect any company to be highly sceptical of your assertion that you do this work only at weekends.

You need a solicitor to look at the contract more closely since there might be an additional clause which also specifies that you have to dedicate your whole time and attention to the role (in addition to those you have posted).

Fudgecorpo · 29/05/2025 10:19

Thank you all. It does seem like im stuck here.

If I was to carry on despite contract saying I cant, apart from getting fired, is there anything else they can do ? I cant afford to loose either at the moment...

OP posts:
Chewbecca · 29/05/2025 10:30

You wouldn't have been given permission to do this at my ex employer either (big FS organisation). It isn't in their interests to agree to it, so they won't. We would agree a side hobby, say, making and selling handbags but nothing related to the job role.

It looks like it has been overlooked until now, IANAL but I don't think you will be successful and need to make a decision.

I would be much less happy with the short deadline to sign in your shoes. But that only delays the situation, not resolves.

ByQuaintAzureWasp · 29/05/2025 10:32

You are co ered by TUPE and your terms and conditions of employment should be unchanged unless you are happy to agree to a change.
As you've less than 2 years employment you are very vulnerable.

I'd sign, carry on with side hustle and look for another job.

marsal · 29/05/2025 10:36

Fudgecorpo · 29/05/2025 10:19

Thank you all. It does seem like im stuck here.

If I was to carry on despite contract saying I cant, apart from getting fired, is there anything else they can do ? I cant afford to loose either at the moment...

In this situation I would expect you to be dismissed for gross misconduct if you continued and they found out. This is not what you want if you are working in a regulated industry since this would potentially affect your whole career.

I would suggest the best bet is to stop the side hustle and look for another job.

Fudgecorpo · 29/05/2025 11:03

marsal · 29/05/2025 10:36

In this situation I would expect you to be dismissed for gross misconduct if you continued and they found out. This is not what you want if you are working in a regulated industry since this would potentially affect your whole career.

I would suggest the best bet is to stop the side hustle and look for another job.

Yes i am aware of that but the chances of them finding out are slim as my clients are based in another country and there is zero overlap in the industries plus I dont have a website or advertise anywhere. It will be a temp measure until I can find another job really but more time than the notice period to find something right or maybe expand my own.... I dont like being so under pressure and think they are pushing the boundaries knowing my situation. Majority of the team can walk into another job within hours really. Id like to know whether others were granted permission to continue.

OP posts:
Fudgecorpo · 29/05/2025 11:08

ByQuaintAzureWasp · 29/05/2025 10:32

You are co ered by TUPE and your terms and conditions of employment should be unchanged unless you are happy to agree to a change.
As you've less than 2 years employment you are very vulnerable.

I'd sign, carry on with side hustle and look for another job.

No TUPE I believe, employer still remains an employer so I believe its shares sale..

OP posts: